41. Wissenschaftliche Jahrestagung der Deutschen Gesellschaft für Phoniatrie und Pädaudiologie (DGPP)
41. Wissenschaftliche Jahrestagung der Deutschen Gesellschaft für Phoniatrie und Pädaudiologie (DGPP)
Outcome nach Cochlea-Implantation bei SSD-Kindern
2St. Johannes Hospital Dortmund, Hals-Nasen-Ohrenheilkunde, Kopf- und Halschirurgie, Dortmund, Deutschland
Abstract
Hintergrund: Die Versorgung mit einem Cochlea-Implantat (CI) ist eine etablierte Therapie bei cochleärer Single-Sided Deafness (SSD) im Erwachsenenalter. Im Kindesalter ist Datenlage derzeit noch recht unklar.
Material und Methoden: Im Rahmen einer monozentrischen Studie wurden 20 Kinder mit einer vermutlich kongenitalen Ertaubung, die mit 2,6 (SD 1,7) Jahren mit einem CI versorgt wurden, eingeschlossen. Erfasst wurden das Sprachverstehen in Ruhe (Freiburger/Göttinger/Mainzer) und im Störgeräusch (OLSA/OLKISA), das Lokalisations- (RMS, MAE) bzw. das Lateralisierungsvermögen, die subjektive Bewertung durch Eltern und Kinder (SSQ, E-HAK, Bochumer Fragebogen) und die Tragedauer.
Ergebnisse: Im Gesamtkollektiv fand sich eine signifikante Verbesserung des Sprachverstehens in Ruhe auf dem CI-Ohr (0% prä versus 37% post), im Störlärm im Setting SssdNnh (p=0.045) und im Lokalisationsvermögen, gemessen am RMS (ohne CI 69,761° versus 52,384° mit CI, p=0.0040), und in der subjektiven Beurteilung des Outcomes (p<0.005). Dabei zeigte sich eine große interindividuelle Variabilität, die sich nicht allein durch das Implantationsalter erklären ließ. Daneben gab es wenige Korrelationen zwischen den objektiv und den subjektiv erhobenen Daten.
Schlussfolgerungen: Eine Cochlea-Implantation bei kongenital ertaubten SSD-Kindern bedarf unabhängig vom Lebensalter einer ausführlichen Aufklärung der Eltern. Langfristig sind prospektive Multicenterstudien zu fordern.
Text
Einleitung
Die Versorgung mit einem Cochlea-Implantat (CI) ist eine etablierte Therapie bei cochleärer Single-Sided Deafness (SSD) im Erwachsenenalter [1]. Im Kindesalter ist die Datenlage derzeit noch recht unklar [2], [3], [4].
Material und Methoden
Im Rahmen einer monozentrischen Studie wurden 20 Kinder mit einer kongenitalen einseitigen Ertaubung, die in der Klinik für HNO am Universitätsklinikum der Ruhr-Universität Bochum zwischen Juni 2012 und Mai 2024 mit 2,6 (SD 1,7) Jahren mit einem CI versorgt wurden, eingeschlossen. Erfasst wurden entsprechend dem Lebensalter des Kindes das Sprachverstehen in Ruhe (Freiburger, Göttinger oder Mainzer Sprachtest) und im Störgeräusch (OLSA oder OLKiSA), das Lokalisationsvermögen (gemessen am „root mean square error“ (RMS) und am „mean absolute error“ (MAE)). Daneben erfolgte eine subjektive Bewertung durch Eltern und Kinder (SSQ-Fragebogen in der Version für Eltern und für Kinder, E-HAK-Fragebogen zur Einschätzung von Hörsituationen im Alltag von Kindern, Bochumer Fragebogen) und die Erfassung der Tragedauer. SSD-Kinder mit einer progedienten Schwerhörigkeit wurden ausgeschlossen.
Ergebnisse
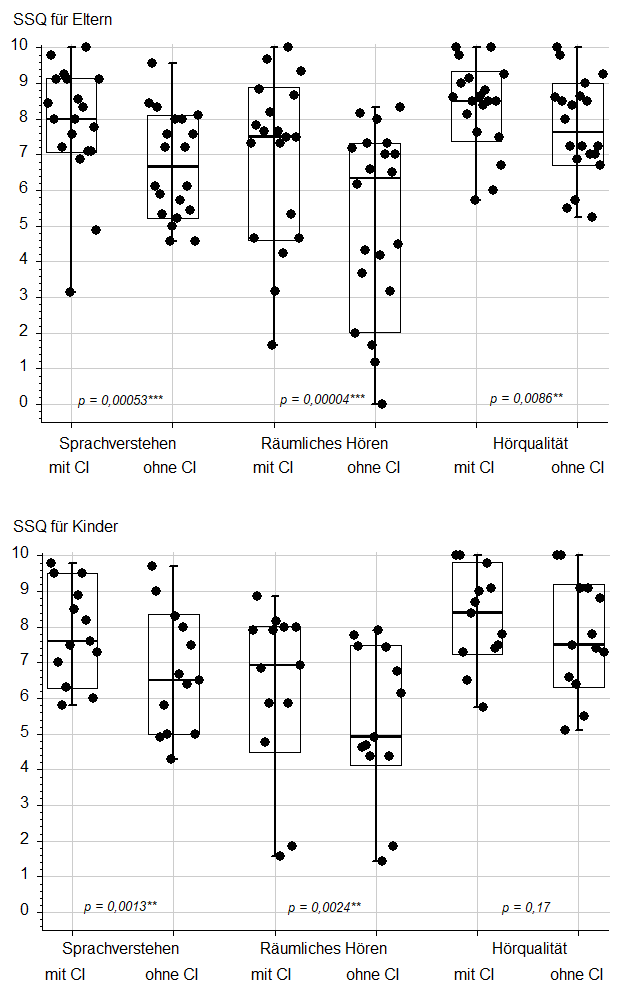
Durch das Implantat verbesserten sich das Sprachverstehens in Ruhe auf dem CI-Ohr allein (0% prä versus 37% post) und im Störlärm im Setting SssdNnh (p=0.045), ebenso das Lokalisationsvermögen, gemessen am RMS (ohne CI 69,76° versus 52,38° mit CI, p=0.0040). Dabei zeigte sich eine große interindividuelle Variabilität, die sich nicht allein durch das Implantationsalter erklären ließ. In der subjektiven Beurteilung des Outcomes gemessen am SSQ-Fragebogen fand sich sowohl in der Beurteilung durch die Eltern (n=20) als auch durch die Kinder (n=13) eine signifikante Verbesserung mit CI in allen drei Unterdomänen (außer im Untertest Hörqualität im Kinderfragebogen) und im Gesamtscore (p<0.005) (Abbildung 1 [Abb. 1]). Auch würde sich die überwiegende Anzahl der Eltern gemessen am Bochumer Fragebogen erneut für eine Cochlea Implantation entscheiden. Interessanterweise zeigte sich kein Zusammenhang zwischen den objektiv erfassten Daten zum Sprachverstehen und zum Richtungshörvermögen und der subjektiven Beurteilung (p>0.05). Auch die Tragedauer korrelierte nicht mit dem objektiv gemessenen Benefit.
Abbildung 1: SSQ-Fragebogen Elternversion (n=20) bzw. Kinderversion (n=13) ohne und mit CI im Vergleich
Schlussfolgerung
Eine Cochlea-Implantation bei kongenital ertaubten SSD-Kindern bedarf unabhängig vom Lebensalter einer ausführlichen Aufklärung der Eltern. Langfristig sind prospektive Multicenterstudien zu fordern.
References
[1] Wesarg T, Aschendorff A, Baumgaertel R, Böttcher J, De Coninck L, Dhooge I, Dierckx A, Klenzner T, Schörg P, Sprinzl G, Swinnen F, Verhaert N, Vermeiren A, Volpert S, Zarowsk A, Ernst A. Cochlear Implantation in Single-Sided Deafness and Asymmetric Hearing Loss: 12 Months Follow-up Results of a European Multicenter Evaluation. J Int Adv Otol. 2024;20(4):289-300. DOI: 10.5152/iao.2024.231457[2] Arndt S, Findeis L, Wesarg T, Aschendorff A, Speck I, Ketterer MC, Rauch AK. Long-Term Outcome of Cochlear Implantation in Children With Congenital, Perilingual, and Postlingual Single-Sided Deafness. Ear Hear. 2024;45(2):316-28. DOI: 10.1097/AUD.0000000000001426
[3] Park LR, Dillon MT, Buss E, Brown KD. Two-Year Outcomes of Cochlear Implant Use for Children with Unilateral Hearing Loss: Benefits and Comparison to Children With Normal Hearing. Ear Hear. 2023;44(5):955-68. DOI: 10.1097/AUD.0000000000001353
[4] Santopietro G, Fancello V, Fancello G, Bianchini C, Pelucchi S, Ciorba A. Cochlear Implantation in Children Affected by Single-Sided Deafness: A Comprehensive Review. Audiol Res. 2024;14(1):77-85. DOI: 10.3390/audiolres14010007



