German Congress of Orthopaedics and Traumatology (DKOU 2025)
Deutscher Kongress für Orthopädie und Unfallchirurgie 2025 (DKOU 2025)
Biomechanische Evaluierung und Funktionstests eines sensorintegrierten Kniespacers zur Überwachung periprothetischer Gelenkinfektionen
2Technische Universität München, München, Deutschland
3TUM Heinz Nixdorf Lehrstuhl für Biomedizinische Elektronik, München, Deutschland
Text
Zielsetzung und Fragestellung: Periprothetische Gelenkinfektionen (PJI) zählen zu den schwerwiegendsten Komplikationen der Endoprothetik. Ziel der Arbeit war die biomechanische Untersuchung eines neuartigen, sensorintegrierten Kniespacers („Smart-Spacer“; Abbildung 1 [Abb. 1]), der eine kontinuierliche Überwachung des Infektionsstatus während des zweizeitigen Prothesenwechsels ermöglichen soll und damit eine evidenzbasierte Bestimmung des optimalen Reimplantationszeitpunkts unterstützen soll.
Abbildung 1: Sensorplatine des "Smart-Spacers"
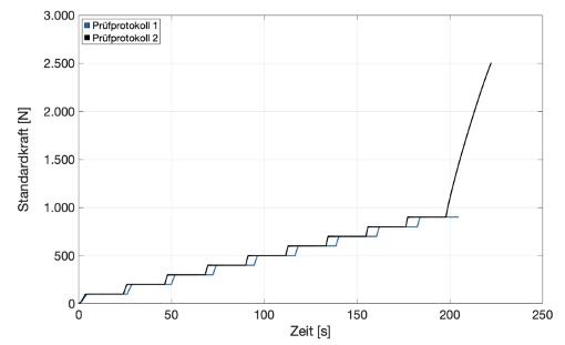
Material und Methoden: Es wurden drei Spacer-Varianten entwickelt: ein Standard-PMMA-Spacer, ein Prototyp des Smart-Spacers mit integrierten optoelektronischen Sensoren und ein Dummy-Spacer mit formtreuer Nachbildung der Platinenstruktur durch Kunststoff-Einbettung. Ziel war die Untersuchung ihrer biomechanischen Stabilität und funktionalen Zuverlässigkeit. Die biomechanische Prüfung umfasste statische Belastungstests bis 900 N (Vollbelastung einer 90 kg schweren Person) und dynamische Tests mit einer zyklischen Belastung von 400 N über 300.000 Zyklen, durchgeführt nach ISO 14879-1. Diese Tests simulierten realitätsnahe Belastungsbedingungen eines implantierten Spacers während alltäglicher Bewegungen. Zur Bestimmung der Belastungsgrenze wurden zusätzlich statische Belastungstests durchgeführt.
Die mechanischen Prüfungen wurden durch Finite-Elemente-Simulationen (FEM) ergänzt, um kritische Belastungspunkte und potenzielle Schwachstellen des Designs zu identifizieren. Im Fokus stand insbesondere das Kamera-Fenster, eine Schlüsselkomponente des Designs, das in Belastungsszenarien als potenzielle Schwachstelle untersucht wurde. Parallel zur mechanischen Prüfung wurde die Funktionalität der optoelektronischen Sensoren evaluiert, indem die Datenübertragungsqualität und die Stabilität der Messkomponenten während der Tests überwacht wurden.
Ergebnisse: Die Ergebnisse zeigen, dass der Smart-Spacer mechanisch stabil und funktional zuverlässig ist. Unter statischen Belastungen bis 900 N (Abbildung 2 [Abb. 2]) und dynamischen Belastungen von 400 N über 300.000 Zyklen (Abbildung 3 [Abb. 3]) traten weder Materialversagen noch Rissbildung auf. Die Funktionalität der integrierten Sensorik blieb während der gesamten Tests uneingeschränkt. Die kontinuierliche Datenübertragung funktionierte fehlerfrei und die Messergebnisse blieben stabil. Tests mit erhöhten Belastungen zeigten, dass Materialversagen erst bei Kräften über 1.700 N auftrat, womit die Belastungsgrenze des Smart-Spacers definiert wurde. Die FEM-Simulationen bestätigten die mechanische Robustheit, identifizierten jedoch das Kamera-Fenster als kritischen Schwachpunkt, der für zukünftige Designoptimierungen berücksichtigt werden sollte.
Abbildung 2: Statische Prüfung
Abbildung 3: Dynamische Prüfung
Diskussion und Schlussfolgerung: Der Smart-Spacer erwies sich als vielversprechendes System zur Diagnostik und Überwachung von PJI. Die Ergebnisse bieten eine solide Grundlage für präklinische Tierstudien und zeigen, dass das System langfristig die Therapie periprothetischer Infektionen verbessern könnte. Biomechanisch zeigen sich nun keine Einwände gegen eine präklinische Testung.



