German Congress of Orthopaedics and Traumatology (DKOU 2025)
Deutscher Kongress für Orthopädie und Unfallchirurgie 2025 (DKOU 2025)
Latex-free surgical gloves worn by scrub nurses have higher rate of undetected intraoperative damage
2University of Applied Sciences Mittelhessen, Giessen, Deutschland
3University of Siegen, Siegen, Deutschland
4Department of Anesthesiology and Intensive Care Medicine, Ulm University Hospital, Ulm, Deutschland
5Philipps-University of Marburg, University Hospital of Giessen and Marburg, Department of Orthopaedics and Traumatology, Marburg, Deutschland
Text
Objectives and questions: Surgical gloves are a medical product and a cornerstone in the prevention of surgical site infections and staff injuries. The aim of this study was to investigate the integrity of surgical gloves worn by scrub nurses during selected procedures in both general and trauma surgery. The incidence of defects such as perforations or tears was determined. Differences in durability between latex and latex-free gloves were also analysed.
Material and methods: Over a three-month period, a total of 139 pairs of latex and latex-free surgical gloves used in general or trauma surgery in an academic teaching hospital were collected immediately after procedures. The gloves were tested for waterproofness according to the European standard ISO EN 455:2022. Only gloves that appeared visually intact were tested for hidden perforations.
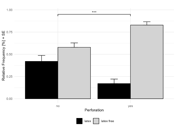
Results: The number of perforations was similar in both departments (general surgery 25% (n=14 of 57) vs. trauma surgery 28% (n=23 of 82), p=0.79). However, there were differences in perforation rates according to glove material (Figure 1 [Abb. 1]). The odds of perforation were increased by a factor of 4.24 with the use of latex-free gloves (χ^2=8.48, p=0.004).
Figure 1: Comparison of perforation frequency between latex and non-latex surgical gloves.
Discussion and conclusions: Perforation of surgical gloves worn by scrub nurses is a common occurrence during various surgical procedures in general and trauma surgery. In many cases, members of the surgical team may not be aware that a glove has been perforated. The risk of undetected damage to a surgical glove is significantly higher when latex-free gloves are used. Further research is needed to investigate whether the use of a second layer of gloves could reduce this perioperative risk to surgical staff and patients.



