German Congress of Orthopaedics and Traumatology (DKOU 2025)
Deutscher Kongress für Orthopädie und Unfallchirurgie 2025 (DKOU 2025)
KI vs. Mensch: Diagnostische Genauigkeit bei der Erkennung von Beckenfrakturen
2Universitätsklinikum des Saarlandes, Homburg, Deutschland
Text
Zielsetzung und Fragestellung: Beckenfrakturen stellen aufgrund der komplexen Beckenanatomie eine besondere diagnostische Herausforderung dar. Die Röntgenbildgebung nimmt eine zentrale Rolle im ersten Kontakt mit diesen Patient:innen ein. Verschobene vordere Beckenringfrakturen und proximale Femurfrakturen können meist zuverlässig erkannt werden, jedoch bestehen Schwierigkeiten bei subtileren Frakturen. Bis zu 80% der Frakturen des hinteren Beckenrings werden übersehen, weshalb eine CT als Goldstandard empfohlen wird.
Künstliche Intelligenz (KI) revolutioniert zunehmend diverse Branchen und eröffnet neue Perspektiven. Insbesondere in der radiologischen Diagnostik wird KI immer häufiger eingesetzt, um die Diagnostik von Krankheiten und Verletzungen zu optimieren.
Ziel dieser Studie ist es, die Genauigkeit der KI-gestützten Frakturerkennungssoftware Rayvolve® bei der Erkennung oder dem Ausschluss von Frakturen auf Becken-AP-Röntgen zu überprüfen. Dazu wird die Software mit der Beurteilung von Unfallchirurgen (UCH), Radiologen (RAD) und anschließend mit der CT-Befundung als Goldstandard verglichen. Ziel ist es, den klinischen Nutzen der Software bei der Diagnostik von Beckenfrakturen zu bewerten.
Material und Methoden: Zwischen 01.02.2023-01.02.2024 wurden alle Röntgen Becken-AP von Patient:innen der Notaufnahme genutzt, die zusätzlich eine CT des Beckens erhalten haben. Verglichen wurden die Ergebnisse der KI-Interpretation, der radiologischen Befunde und die eines erfahrenen Unfallchirurgen (UCH). Zusätzlich wurden alle Ergebnisse mit der CT-Befundung verglichen. Zur Beurteilung der Intraobserver- und Interrater-Reliabilität zwei verschiedene Inter-Class-Correlation (ICC)-Modelle genutzt.
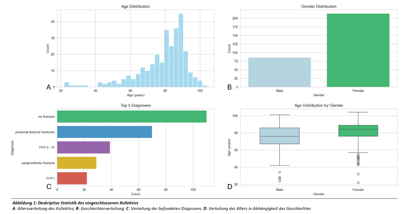
Ergebnisse: Insgesamt wurden 300 Patient:innen eingeschlossen. Abbildung 1 [Abb. 1] zeigt die deskriptive Statikstik.
Die höchste Übereinstimmung zeigte sich zwischen der UCH Röntgenbefundung und der CT mit einem ICC von 0,906. Die KI erreichte im Vergleich zur CT-Befundung einen ICC von 0,683, während die Übereinstimmung zwischen KI und UCH bei 0,772 lag. Alle Ergebnisse waren hochsignifikant (p < 0,001). Die radiologischen Röntgenbeurteilungen zeigte durchweg gute Übereinstimmungen: Mit der CT-Befundung wurde ein ICC von 0,844 erreicht, mit UCH 0,888. Die Übereinstimmung zwischen RAD und KI lag bei 0,770. Auch hier waren alle Ergebnisse hochsignifikant (p < 0,001).
Diskussion und Schlussfolgerung: In dieser Studie konnte gezeigt werden, dass die KI zwar Übereinstimmungen mit der CT und den Beurteilern erreicht, aber noch nicht die gleiche diagnostische Genauigkeit wie erfahrene Radiologen oder Unfallchirurgen aufweist.
Die klinische Relevanz von KI-Frakturerkennung ist in Zeiten von Prozessoptimierung, Patientensicherheit und Wirtschaftlichkeit hoch, insbesondere bei der Diagnostik von Beckenfrakturen.
Die Weiterentwicklung und Integration von KI in die klinische Praxis wird voraussichtlich zu einer Revolution in der muskuloskelettalen Diagnostik führen, die sowohl Patientenversorgung verbessert als auch die Effizienz im Gesundheitswesen steigert. Allerdings müssen dabei technische, ethische und rechtliche Herausforderungen sorgfältig adressiert werden.
Tabelle 1 [Tab. 1]





