German Congress of Orthopaedics and Traumatology (DKOU 2025)
Deutscher Kongress für Orthopädie und Unfallchirurgie 2025 (DKOU 2025)
PS-Prothesen profitieren im Gegensatz zu CR-Prothesen vom Retropatellarersatz – eine Analyse des EPRD
2EPRD – Endoprothesenregister Deutschland gGmbH, Berlin, Deutschland
Text
Zielsetzung und Fragestellung: Der Retropatellarersatz bei primärer Knie-Totalendoprothese (KTEP) wird seit über 30 Jahren kontrovers diskutiert. Die uneinheitliche Datenlage wird vor allem der unterschiedlichen Indikationsbandbreite sowie heterogenen Implantat- und Trochleadesigns zugeschrieben. Diese Studie untersucht anhand der Daten des Endoprothesenregisters Deutschland (EPRD) Risikofaktoren für einen sekundären Retropatellarersatz in Abhängigkeit von Kopplungsgrad und Indikation (primäre vs. posttraumatische Gonarthrose).
Material und Methoden: Der Datensatz des Endoprothesenregisters Deutschland (EPRD) wurde anhand des „Operationen- und Prozedurenschlüssels“ sowie der „International Classification of Diseases“ analysiert. Eingeschlossen wurden Patienten mit primärer oder posttraumatischer Gonarthrose, die eine KTEP ohne Retropatellarersatz erhielten. Patienten mit septischer Indexoperation wurden ausgeschlossen. Die Revisionsrate aufgrund eines sekundären Retropatellarersatzes wurde in Abhängigkeit von der zugrunde liegenden Indikation (primäre vs. posttraumatische Gonarthrose) sowie vom Kopplungsgrad evaluiert. Der Kopplungsgrad wurde gemäß Herstellerangaben in Kreuzabnderhaltend (CR), posterior stabilisiert (PS) und condylar-constraint (CCK) kategorisiert. Zusätzlich erfolgte die Erfassung eines ggf. zusätzlichen Inaywechsels im Rahmen der Implantation des sekundären RPE. Die Revisionsrate wurde mittels Kaplan-Meier-Analyse verglichen.
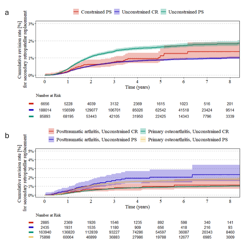
Ergebnisse: In die Studie wurden 280.563 Patienten eingeschlossen. Das Risiko für einen sekundären Retropatellarersatz war bei PS- und CCK-Designs signifikant höher als bei CR-Designs (Abbildung 1a [Abb. 1], p<0,01). Dieser Trend war sowohl für die primäre als insbesondere auch für die posttraumatische Situation zu beobachten (Abbildung 1b [Abb. 1], p<0,01). Bei 41% der sekundären RPE wurde zusätzlich ein Inlaywechsel durchgeführt, wobei in 71% der Fälle die Inlayhöhe verändert wurde. Eine verbesserte Re-Revisionsrate ließ sich durch diese Maßnahmen im kurz- bis mittelfristigen Follow-up nicht nachweisen (p=0,5 und p=0,4).
Abbildung 1: a) Rate an sekundären Retropatellarersatz in Abhängigkeit des Kopplungsgrades. b) Rate an sekundären Retropatellarersatz in Abhängigkeit des Kopplungsgrades und Entität der Indexoperation. CR: Cruciate Retaining, PS: Posterior Stabilized, Constrained PS entspricht Condylar Constraint Design
Diskussion und Schlussfolgerung: Da 29% der Patienten neben einem sekundären Retropatellarersatz auch einen Inlaywechsel mit Höhenanpassung erhielten, deutet dies auf eine uneinheitliche Indikationsstellung für den Eingriff hin. PS-Designs weisen unabhängig von der Entität der Primärimplantation ein erhöhtes Risiko für einen sekundären Retropatellarersatz auf, weshalb dieser bereits primär großzügiger in Betracht gezogen werden sollte.



