- Conferences Overview
- Deutscher Kongress für Orthopädie und Unfallchirurgie 2025 (DKOU 2025)
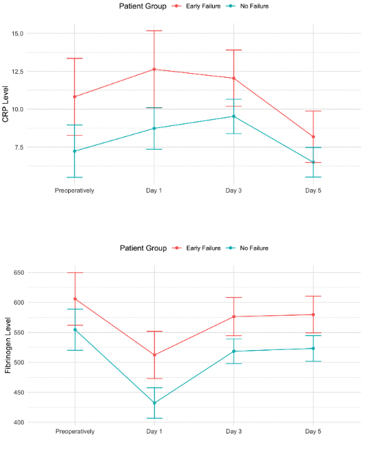
- CRP and fibrinogen as indicators of reinfection risk after explantation in two-stage prosthetic joint revision
German Congress of Orthopaedics and Traumatology (DKOU 2025)
28.-31.10.2025
Berlin
Deutscher Kongress für Orthopädie und Unfallchirurgie 2025 (DKOU 2025)
CRP and fibrinogen as indicators of reinfection risk after explantation in two-stage prosthetic joint revision
Text
Objectives and questions: Periprosthetic joint infections are a major complication after total joint arthroplasty. This study evaluated the early postoperative changes in C-reactive protein (CRP) and fibrinogen after explantation in two-stage revision surgeries and their potential to predict early treatment failure.
Material and methods: Patients undergoing 2-stage hip or knee prosthesis exchange between June 2012 and September 2023, diagnosed per EBJIS criteria, were retrospectively analyzed. They were grouped by outcomes: no failure or early failure (within one year post-reimplantation or requiring spacer exchange). Propensity score matching created two groups of 72 patients each. Absolute and relative CRP and fibrinogen levels were analyzed preoperatively and on postoperative days 1, 3, and 5, as well as the area under the curves (AUC) of their postoperative trajectories. Further, ROC analysis was performed.
Results: Significant differences in absolute CRP were observed preoperatively (p=0.03) and on postoperative day 1 (p=0.01). Fibrinogen showed significant differences on days 1 (p=0.01) and 3 (p=0.01, cf. Figure 1 [Fig. 1]). Relative and absolute CRP changes differed significantly on day 3, while fibrinogen changes were significant on day 5. The relative fibrinogen AUC demonstrated the highest prognostic value for early failure with an AUC of 0.75 (sensitivity=0.81, specificity=0.70).
Figure 1: Course of absolute CRP (mg/dl) and fibrinogen (mg/dl) levels with 95%-confidence Intervals.
Discussion and conclusions: Fibrinogen, as opposed to CRP, has the potential to serve as a predictive marker of early treatment failure after explantation in two-stage revision for PJI.



